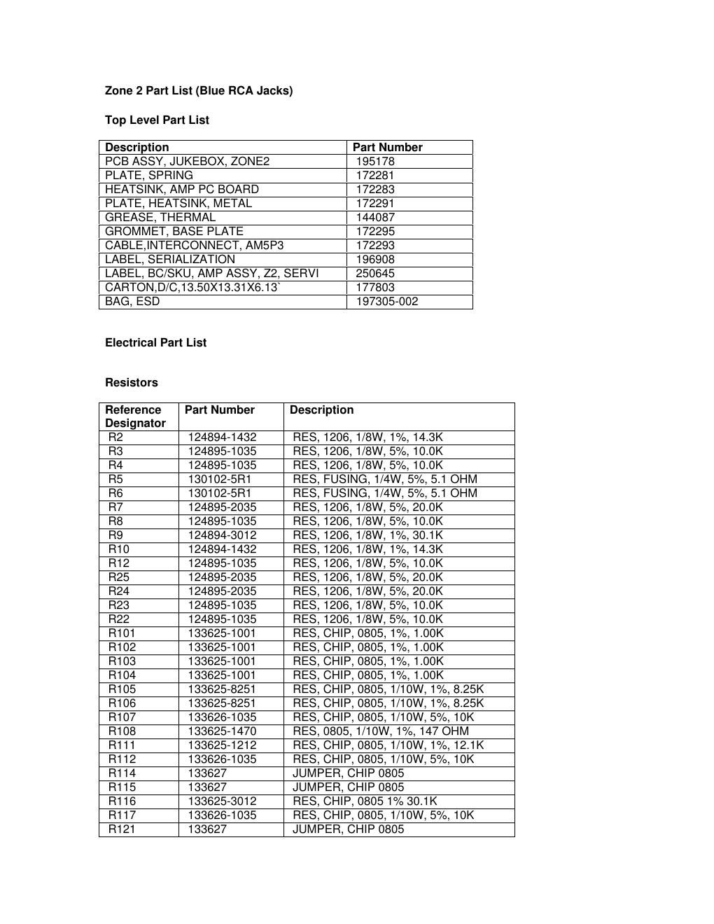
Bose zone 2 part list
This is the 8 pages manual for bose zone 2 part list.
Read or download the pdf for free. If you want to contribute, please upload pdfs to audioservicemanuals.wetransfer.com.
Page: 1 / 8
